Control System Toolbox Function Reference | ![]() ![]() |
Form regulator given state-feedback and estimator gains
Syntax
rsys = reg(sys,K,L) rsys = reg(sys,K,L,sensors,known,controls)
Description
rsys = reg(sys,K,L)
forms a dynamic regulator or compensator rsys
given a state-space model sys
of the plant, a state-feedback gain matrix K
, and an estimator gain matrix L
. The gains K
and L
are typically designed using pole placement or LQG techniques. The function reg
handles both continuous- and discrete-time cases.
This syntax assumes that all inputs of sys
are controls, and all outputs are measured. The regulator rsys
is obtained by connecting the state-feedback law and the state estimator with gain matrix
L
(see estim
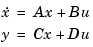
). For a plant with equations
This regulator should be connected to the plant using positive feedback.
rsys = reg(sys,K,L,sensors,known,controls)
handles more general regulation problems where:
The index vectors sensors
, known
, and controls
specify ,
, and
as subsets of the outputs and inputs of
sys
. The resulting regulator uses as inputs to generate the commands
(see figure below).
Example
Given a continuous-time state-space model
sys = ss(A,B,C,D)
with seven outputs and four inputs, suppose you have designed:
K
using inputs 1, 2, and 4 of the plant as control inputsL
using outputs 4, 7, and 1 of the plant as sensors, and input 3 of the plant as an additional known inputYou can then connect the controller and estimator and form the complete regulation system by
controls = [1,2,4]; sensors = [4,7,1]; known = [3]; regulator = reg(sys,K,L,sensors,known,controls)
See Also
estim
Form state estimator given estimator gain
kalman
Kalman estimator design
lqgreg
Form LQG regulator
lqr
, dlqr
State-feedback LQ regulator
place
Pole placement
![]() | pzmap | reshape | ![]() |