Control System Toolbox Function Reference | ![]() ![]() |
Form state estimator given estimator gain
Syntax
est = estim(sys,L) est = estim(sys,L,sensors,known)
Description
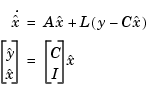
est = estim(sys,L)
produces a state/output estimator est
given the plant state-space model sys
and the estimator gain L
. All inputs of
sys
are assumed stochastic (process and/or measurement noise), and all outputs are measured. The estimator
est
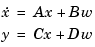
is returned in state-space form (SS object). For a continuous-time plant sys
with equations
estim
generates plant output and state estimates and
as given by the following model.
The discrete-time estimator has similar equations.
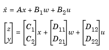
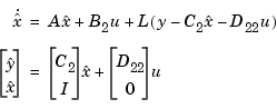
est = estim(sys,L,sensors,known)
handles more general plants sys
with both known inputs and stochastic inputs
, and both measured outputs
and nonmeasured outputs
.
The index vectors sensors
and known
specify which outputs are measured and which inputs
are known. The resulting estimator
est
uses both and
to produce the output and state estimates.
estim
handles both continuous- and discrete-time cases. You can use the functions place
(pole placement) or kalman
(Kalman filtering) to design an adequate estimator gain . Note that the estimator poles (eigenvalues of
) should be faster than the plant dynamics (eigenvalues of
) to ensure accurate estimation.
Example
Consider a state-space model sys
with seven outputs and four inputs. Suppose you designed a Kalman gain matrix using outputs 4, 7, and 1 of the plant as sensor measurements, and inputs 1,4, and 3 of the plant as known (deterministic) inputs. You can then form the Kalman estimator by
sensors = [4,7,1]; known = [1,4,3]; est = estim(sys,L,sensors,known)
See the function kalman
for direct Kalman estimator design.
See Also
kalman
Design Kalman estimator
place
Pole placement
reg
Form regulator given state-feedback and estimator
gains
![]() | esort | evalfr | ![]() |