Control System Toolbox Function Reference | ![]() ![]() |
Design linear-quadratic (LQ) state-feedback regulator for discrete-time plant
Syntax
[K,S,e] = dlqr(a,b,Q,R) [K,S,e] = dlqr(a,b,Q,R,N)
Description
calculates the optimal gain matrix [K,S,e] = dlqr(a,b,Q,R,N)
K
such that the state-feedback law
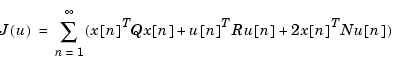
minimizes the quadratic cost function
for the discrete-time state-space mode
The default value N=0
is assumed when N
is omitted.
In addition to the state-feedback gain K
, dlqr
returns the infinite horizon solution S of the associated discrete-time Riccati equation
and the closed-loop eigenvalues e = eig(a
-b*K)
. Note that K is derived from S by
Limitations
The problem data must satisfy:
See Also
dare
Solve discrete Riccati equations
lqgreg
LQG regulator
lqr
State-feedback LQ regulator for continuous plant
lqrd
Discrete LQ regulator for continuous plant
lqry
State-feedback LQ regulator with output weighting
![]() | delay2z | dlyap | ![]() |