Control System Toolbox Function Reference | ![]() ![]() |
Design continuous- or discrete-time Kalman estimator
Syntax
[kest,L,P] = kalman(sys,Qn,Rn,Nn) [kest,L,P,M,Z] = kalman(sys,Qn,Rn,Nn) % discrete time only [kest,L,P] = kalman(sys,Qn,Rn,Nn,sensors,known)
Description
kalman
designs a Kalman state estimator given a state-space model of the plant and the process and measurement noise covariance data. The Kalman estimator is the optimal solution to the following continuous or discrete estimation problems.
with known inputs and process and measurement white noise
satisfying
construct a state estimate that minimizes the steady-state error covariance
The optimal solution is the Kalman filter with equations
where the filter gain is determined by solving an algebraic Riccati equation. This estimator uses the known inputs
and the measurements
to generate the output and state estimates
and
. Note that
estimates the true plant output
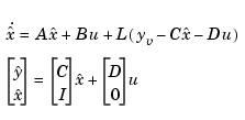
the Kalman estimator has equations
and generates optimal "current" output and state estimates and
using all available measurements including
. The gain matrices
and
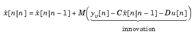
are derived by solving a discrete Riccati equation. The innovation gain
is used to update the prediction
using the new measurement
.
Usage
[kest,L,P] = kalman(sys,Qn,Rn,Nn)
returns a state-space model kest
of the Kalman estimator given the plant model sys
and the noise covariance data Qn
, Rn
, Nn
(matrices above).
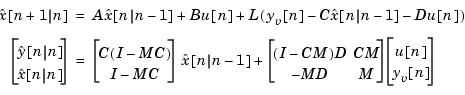
sys
must be a state-space model with matrices
The resulting estimator kest
has as inputs and
(or their discrete-time counterparts) as outputs. You can omit the last input argument
Nn
when .
The function kalman
handles both continuous and discrete problems and produces a continuous estimator when sys
is continuous, and a discrete estimator otherwise. In continuous time, kalman
also returns the Kalman gain L
and the steady-state error covariance matrix P
. Note that P
is the solution of the associated Riccati equation. In discrete time, the syntax
[kest,L,P,M,Z] = kalman(sys,Qn,Rn,Nn)
returns the filter gain and innovations gain
, as well as the steady-state error covariances
[kest,L,P] = kalman(sys,Qn,Rn,Nn,sensors,known) [kest,L,P,M,Z] = kalman(sys,Qn,Rn,Nn,sensors,known)
for more general plants sys
where the known inputs and stochastic inputs
are mixed together, and not all outputs are measured. The index vectors
sensors
and known
then specify which outputs of
sys
are measured and which inputs are known. All other inputs are assumed stochastic.
Example
See LQG Design for the x-Axis and Kalman Filtering for examples that use the kalman
function.
Limitations
The plant and noise data must satisfy:
See Also
care
Solve continuous-time Riccati equations
dare
Solve discrete-time Riccati equations
estim
Form estimator given estimator gain
kalmd
Discrete Kalman estimator for continuous plant
lqgreg
Assemble LQG regulator
lqr
Design state-feedback LQ regulator
References
[1] Franklin, G.F., J.D. Powell, and M.L. Workman, Digital Control of Dynamic Systems, Second Edition, Addison-Wesley, 1990.
![]() | issiso | kalmd | ![]() |