Control System Toolbox Function Reference | ![]() ![]() |
Design linear-quadratic (LQ) state-feedback regulator for continuous plant
Syntax
[K,S,e] = lqr(A,B,Q,R) [K,S,e] = lqr(A,B,Q,R,N)
Description
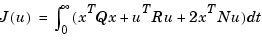
[K,S,e] = lqr(A,B,Q,R,N)
calculates the optimal gain matrix K
such that the state-feedback law
minimizes the quadratic cost function
for the continuous-time state-space model
The default value N=0
is assumed when N
is omitted.
In addition to the state-feedback gain K
, lqr
returns the solution S
of the associated Riccati equation
and the closed-loop eigenvalues e = eig(A-B*K)
. Note that is derived from
by
Limitations
The problem data must satisfy:
See Also
care
Solve continuous Riccati equations
dlqr
State-feedback LQ regulator for discrete plant
lqgreg
Form LQG regulator
lqrd
Discrete LQ regulator for continuous plant
lqry
State-feedback LQ regulator with output weighting
![]() | lqgreg | lqrd | ![]() |