Control System Toolbox Function Reference | ![]() ![]() |
Linear-quadratic (LQ) state-feedback regulator with output weighting
Syntax
[K,S,e] = lqry(sys,Q,R) [K,S,e] = lqry(sys,Q,R,N)
Description
or its discrete-time counterpart, lqry
designs a state-feedback control
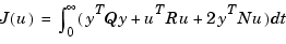
that minimizes the quadratic cost function with output weighting
(or its discrete-time counterpart). The function lqry
is equivalent to lqr
or dlqr
with weighting matrices:
[K,S,e] = lqry(sys,Q,R,N)
returns the optimal gain matrix K
, the Riccati solution S
, and the closed-loop eigenvalues e = eig(A
-B*K)
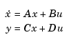
. The state-space model sys
specifies the continuous- or discrete-time plant data . The default value
N=0
is assumed when N
is omitted.
Example
See LQG Design for the x-Axis for an example.
Limitations
The data must satisfy the requirements for
lqr
or dlqr
.
See Also
lqr
State-feedback LQ regulator for continuous plant
dlqr
State-feedback LQ regulator for discrete plant
kalman
Kalman estimator design
lqgreg
Form LQG regulator
![]() | lqrd | lsim | ![]() |