Getting Started | ![]() ![]() |
Pole Placement
The closed-loop pole locations have a direct impact on time response characteristics such as rise time, settling time, and transient oscillations. Root locus uses compensator gains to move closed-loop poles to achieve design specifications for SISO systems. You can, however, use state-space techniques to assign closed-loop poles. This design technique is known as pole placement, which differs from root locus in the following ways:
Pole placement requires a state-space model of the system (use ss
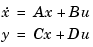
to convert other model formats to state space). In continuous time, such models are of the form
where is the vector of control inputs,
is the state vector, and
is the vector of measurements.
State-Feedback Gain Selection
Under state feedback , the closed-loop dynamics are given by
and the closed-loop poles are the eigenvalues of . Using the
place
command, you can compute a gain matrix that assigns these poles to any desired locations in the complex plane (provided that
is controllable).
For example, for state matrices A
and B
, and vector p
that contains the desired locations of the closed loop poles,
K = place(A,B,p);
computes an appropriate gain matrix K
.
State Estimator Design
You cannot implement the state-feedback law unless the full state
is measured. However, you can construct a state estimate
such that the law
retains similar pole assignment and closed-loop properties. You can achieve this by designing a state estimator (or observer) of the form
The estimator poles are the eigenvalues of , which can be arbitrarily assigned by proper selection of the estimator gain matrix
, provided that
(C, A) is observable. As a rule of thumb, the estimator dynamics should be faster than the controller dynamics (eigenvalues of ).
Use the place
command to calculate the L matrix
L = place(A',C',q)
where A
and C
are the state and output matrices, and q
is the vector containing the desired closed-loop poles for the observer.
Replacing by its estimate
in
yields the dynamic output-feedback compensator
Note that the resulting closed-loop dynamics are
Hence, you actually assign all closed-loop poles by independently placing the eigenvalues of and
.
Example. Given a continuous-time state-space model
sys_pp = ss(A,B,C,D)
with seven outputs and four inputs, suppose you have designed:
K
using inputs 1, 2, and 4 of the plant as control inputs L
using outputs 4, 7, and 1 of the plant as sensorsYou can then connect the controller and estimator and form the dynamic compensator using this code.
controls = [1,2,4]; sensors = [4,7,1]; known = [3]; regulator = reg(sys_pp,K,L,sensors,known,controls)
Pole Placement Tools
The Control System Toolbox contains functions to:
The following table summarizes the commands for pole placement.
Command |
Description |
|
SISO pole placement |
|
Form state estimator given estimator gain |
|
MIMO pole placement |
|
Form output-feedback compensator given state-feedback and estimator gains |
The function acker
is limited to SISO systems and should only be used for systems with a small number of states. The function place
is a more general and numerically robust alternative to acker
.
Caution. Pole placement can be badly conditioned if you choose unrealistic pole locations. In particular, you should avoid:
![]() | Root Locus Design | Linear-Quadratic-Gaussian (LQG) Design | ![]() |