Mathematics | ![]() ![]() |
Representing BVP Problems
bvp4c
Example: Mathieu's Equation
This example determines the fourth eigenvalue of Mathieu's Equation. It illustrates how to write second-order differential equations as a system of two first-order ODEs and how to use bvp4c
to determine an unknown parameter .
The task is to compute the fourth () eigenvalue
of Mathieu's equation
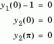
Because the unknown parameter is present, this second-order differential equation is subject to three boundary conditions
Note
The demo mat4bvp contains the complete code for this example. The demo uses subfunctions to place all functions required by bvp4c in a single M-file. To run this example type mat4bvp at the command line. See BVP Solver Basic Syntax for more information.
|
1 Rewrite the Problem as a First-Order System. To use bvp4c
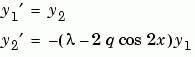
, you must rewrite the equations as an equivalent system of first-order differential equations. Using a substitution and
, the differential equation is written as a system of two first-order equations
Note that the differential equations depend on the unknown parameter . The boundary conditions become
2 Code the System of First-Order ODEs in MATLAB. Once you represent the equation as a first-order system, you can code it as a function that bvp4c
can use. Because there is an unknown parameter, the function must be of the form
dydx = odefun(x,y,parameters)
The code below represents the system in the MATLAB function, mat4ode
.
function dydx = mat4ode(x,y,lambda) q = 5; dydx = [ y(2) -(lambda - 2*q*cos(2*x))*y(1) ];
See Finding Unknown Parameters for more information about using unknown parameters with bvp4c
.
3 Code the Boundary Conditions Function. You must also code the boundary conditions in a MATLAB function. Because there is an unknown parameter, the function must be of the form
res = bcfun(ya,yb,parameters)
The code below represents the boundary conditions in the MATLAB function, mat4bc
.
function res = mat4bc(ya,yb,lambda) res = [ ya(2) yb(2) ya(1)-1 ];
4 Create an Initial Guess. To form the guess structure solinit
with bvpinit
, you need to provide initial guesses for both the solution and the unknown parameter.
The function mat4init
provides an initial guess for the solution. mat4init
uses because this function satisfies the boundary conditions and has the correct qualitative behavior (the correct number of sign changes).
function yinit = mat4init(x) yinit = [ cos(4*x) -4*sin(4*x) ];
In the call to bvpinit
, the third argument, lambda
, provides an initial guess for the unknown parameter .
lambda = 15; solinit = bvpinit(linspace(0,pi,10),@mat4init,lambda);
This example uses @
to pass mat4init
as a function handle to bvpinit
.
Note
See the function_handle (@), func2str , and str2func reference pages, and the Function Handles chapter of "Programming and Data Types" in the MATLAB documentation for information about function handles.
|
5 Apply the BVP Solver. The mat4bvp
example calls bvp4c
with the functions mat4ode
and mat4bc
and the structure solinit
created with bvpinit
.
sol = bvp4c(@mat4ode,@mat4bc,solinit);
6 View the Results. Complete the example by displaying the results:
fprintf('The fourth eigenvalue is approximately %7.3f.\n',... sol.parameters)
bvpval
to evaluate the numerical solution at 100 equally spaced points in the interval xint = linspace(0,pi); Sxint = bvpval(sol,xint); plot(xint,Sxint(1,:)) axis([0 pi -1 1.1]) title('Eigenfunction of Mathieu''s equation.') xlabel('x') ylabel('solution y')
See Evaluating the Solution at Specific Points for information about using bvpval
.
The following plot shows the eigenfunction associated with the final eigenvalue = 17.097.
Finding Unknown Parameters
The bvp4c
solver can find unknown parameters for problems of the form
You must provide bvp4c
an initial guess for any unknown parameters in the vector solinit.parameters
. When you call bvpinit
to create the structure solinit
, specify the initial guess as a vector in the additional argument parameters
.
solinit = bvpinit(x,v,parameters)
The bvp4c
function arguments odefun
and bcfun
must each have a third argument.
dydx = odefun(x,y,parameters) res = bcfun(ya,yb,parameters)
The bvp4c
solver calculates intermediate values of unknown parameters at each iteration, and passes the latest values to odefun
and bcfun
in the parameters
arguments. The solver returns the final values of these unknown parameters in sol.parameters
.
Evaluating the Solution at Specific Points
The collocation method implemented in bvp4c
produces a C1-continuous solution over the whole interval of integration . You can evaluate the approximate solution,
, at any point in
using the structure
sol
returned by bvp4c
and the helper function bvpval
Sxint = bvpval(sol,xint)
The bvpval
function is vectorized. For a vector xint
, the i
th column of Sxint
approximates the solution .
![]() | Boundary Value Problem Solver | Making a Good Initial Guess | ![]() |