Using Simulink    
Rate Limiter

Limit the rate of change of a signal.

Library

Nonlinear

Description

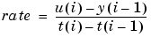
The Rate Limiter block limits the first derivative of the signal passing through it. The output changes no faster than the specified limit. The derivative is calculated using this equation.

u(i) and t(i) are the current block input and time, and y(i-1) and t(i-1) are the output and time at the previous step. The output is determined by comparing rate to the Rising slew rate and Falling slew rate parameters:

Data Type Support

A Rate Limiter block accepts and outputs signals of type double.

Parameters and Dialog Box

Rising slew rate
The limit of the derivative of an increasing input signal.
Falling slew rate
The limit of the derivative of a decreasing input signal.

Characteristics

Direct Feedthrough
Yes
Sample Time
Continuous
Scalar Expansion
Of input and parameters
Dimensionalized
Yes
Zero Crossing
No


 Random Number Real-Imag to Complex