Signal Processing Toolbox | ![]() ![]() |
Convert transfer function filter parameters to zero-pole-gain form.
Syntax
[z,p,k] =
tf2zp(b,a)
Description
tf2zp
finds the zeros, poles, and gains of a transfer function.
[z,p,k]
finds the matrix of zeros =
tf2zp(b,a)
z
, the vector of poles p
, and the associated vector of gains k
from the transfer function parameters b
and a
:
b
. a
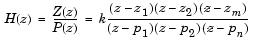
.Given a SIMO continuous-time system in polynomial transfer function form
you can use the output of tf2zp
to produce the single-input, multioutput (SIMO) factored transfer function form
The following describes the input and output arguments for tf2zp
:
a
specifies the coefficients of the denominator polynomial A(s) (or A(z)) in descending powers of s (z-1). b
represents the coefficients of the ith numerator polynomial (the ith row of B(s) or B(z)). Specify as many rows of b
as there are outputs. b
to be less than or equal to the length na of the vector a
.b
to be equal to the length na of the vector a
. You can use the function eqtflength
to provide equal length vectors in the case that b
and a
are vectors of unequal lengths. Otherwise, pad the numerators in the matrix b
(and, possibly, the denominator vector a)
with zeros.z
, with as many columns as there are rows in b
. p
and the gains for each numerator transfer function in the vector k
. The tf2zp
function is part of the standard MATLAB language.
Example
Find the zeros, poles, and gains of the discrete-time system
b=
[2 3]; a=
[1 0.4 1]; [b,a] = eqtflength(b,a);% Make lengths equal. [z,p,k]=
tf2zp(b,a) % Obtain the zero-pole-gain form. z = 0 -1.5000 p = -0.2000 + 0.9798i -0.2000 - 0.9798i k = 2
See Also
|
Convert digital filter second-order sections parameters to zero-pole-gain form. |
|
Convert state-space filter parameters to zero-pole-gain form. |
|
Convert digital filter transfer function parameters to second-order sections form. |
|
Convert transfer function filter parameters to state-space form. |
|
Convert zero-pole-gain filter parameters to transfer function form. |
![]() | tf2ss | tfe | ![]() |