Control System Toolbox Function Reference    
set

Set or modify LTI model properties

Syntax

Description

set is used to set or modify the properties of an LTI model (see LTI Properties for background on LTI properties). Like its Handle Graphics counterpart, set uses property name/property value pairs to update property values.

set(sys,'Property',Value) assigns the value Value to the property of the LTI model sys specified by the string 'Property'. This string can be the full property name (for example, 'UserData') or any unambiguous case-insensitive abbreviation (for example, 'user'). The specified property must be compatible with the model type. For example, if sys is a transfer function, Variable is a valid property but StateName is not (see Model-Specific Properties for details).

set(sys,'Property1',Value1,'Property2',Value2,...) sets multiple property values with a single statement. Each property name/property value pair updates one particular property.

set(sys,'Property') displays admissible values for the property specified by 'Property'. See Property Values below for an overview of legitimate LTI property values.

set(sys) displays all assignable properties of sys and their admissible values.

Example

Consider the SISO state-space model created by

You can add an input delay of 0.1 second, label the input as torque, reset the matrix to zero, and store its DC gain in the 'Userdata' property by

Note that set does not require any output argument. Check the result with get by typing

Property Values

The following table lists the admissible values for each LTI property. and denotes the number of inputs and outputs of the underlying LTI model. For K-dimensional LTI arrays, let denote the array dimensions.

Table 0-2: LTI Properties 
Property Name
Admissible Property Values
Ts
  • 0 (zero) for continuous-time systems
  • Sample time in seconds for discrete-time systems
  • -1 or [] for discrete systems with unspecified sample time

Note:  Resetting the sample time property does not alter the model data. Use c2d, d2c, or d2d for discrete/continuous and discrete/discrete conversions.

ioDelay
Input/Output delays specified with
  • Nonnegative real numbers for continuous-time models (seconds)
  • Integers for discrete-time models (number of sample periods)
  • Scalar when all I/O pairs have the same delay
  • -by- matrix to specify independent delay times for each I/O pair
  • Array of size -by- -by- -by-. . .-by- to specify different I/O delays for each model in an LTI array.
InputDelay
Input delays specified with
  • Nonnegative real numbers for continuous-time models (seconds)
  • Integers for discrete-time models (number of sample periods)
  • Scalar when or system has uniform input delay
  • Vector of length to specify independent delay times for each input channel
  • Array of size -by- -by- -by-. . .-by- to specify different input delays for each model in an LTI array.
OutputDelay
Output delays specified with
  • Nonnegative real numbers for continuous-time models (seconds)
  • Integers for discrete-time models (number of sample periods)
  • Scalar when or system has uniform output delay
  • Vector of length to specify independent delay times for each output channel
  • Array of size -by- -by- -by-. . .-by- to specify different output delays for each model in an LTI array.
Notes
String, array of strings, or cell array of strings
UserData
Arbitrary MATLAB variable
InputName
  • String for single-input systems, for example, 'thrust'
  • Cell vector of strings for multi-input systems (with as many cells as inputs), for example, {'u';'w'} for a two-input system
  • Padded array of strings with as many rows as inputs, for example,
    • ['rudder ' ; 'aileron']
      
OutputName
Same as InputName (with "input" replaced by "output")
InputGroup

Cell array. See Input Groups and Output Groups.

OutputGroup
Same as InputGroup

Table 0-3: State-Space Model Properties 
Property Name
Admissible Property Values
StateName
Same as InputName (with Input replaced by State)
a, b, c, d, e
Real-valued state-space matrices (multidimensional arrays, in the case of LTI arrays) with compatible dimensions for the number of states, inputs, and outputs. See The Size of LTI Array Data for SS Models.
Nx
  • Scalar integer representing the number of states for single LTI models or LTI arrays with the same number of states in each model
  • -by--by--dimensional array of integers when all of the models of an LTI array do not have the same number of states

Table 0-4: TF Model Properties
Property Name
Admissible Property Values
num, den
  • Real-valued row vectors for the coefficients of the numerator or denominator polynomials in the SISO case. List the coefficients in descending powers of the variable or by default, and in ascending powers of when the Variable property is set to 'q' or 'z^-1' (see note below).
  • -by- cell arrays of real-valued row vectors in the MIMO case, for example,
    {[1 2];[1 0 3]} for a two-output/one-input transfer function
  • -by--by--by--by--dimensional real-valued cell arrays for MIMO LTI arrays
Variable
  • String 's' (default) or 'p' for continuous-time systems
  • String 'z' (default), 'q', or 'z^-1' for discrete-time systems

Table 0-5: ZPK Model Properties
Property Name
Admissible Property Values

z, p

  • Vectors of zeros and poles (either real-valued or complex conjugate pairs of them) in SISO case
  • -by- cell arrays of vectors (entries are real-valued or in complex conjugate pairs) in MIMO case, for example, z = {[],[-1 0]} for a model with two inputs and one output
  • -by--by--by--by--dimensional cell arrays for MIMO LTI arrays
Variable
  • String 's' (default) or 'p' for continuous-time systems
  • String 'z' (default), 'q', or 'z^-1' for discrete-time systems

Table 0-6: FRD Model Properties
Property Name
Admissible Property Values
Frequency
Real-valued vector of length -by-1, where is the number of frequencies
Response
  • -by--by--dimensional array of complex data for single LTI models
  • -by--by--by--by--by--dimensional array for LTI arrays
Units
String 'rad/s' (default), or 'Hz'

Remark

For discrete-time transfer functions, the convention used to represent the numerator and denominator depends on the choice of variable (see the tf entry for details). Like tf, the syntax for set changes to remain consistent with the choice of variable. For example, if the Variable property is set to 'z' (the default),

produces the transfer function

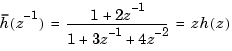
However, if you change the Variable to 'z^-1' (or 'q') by

the same command

now interprets the row vectors [1 2] and [1 3 4] as the polynomials and and produces:

See Also
get         Access/query LTI model properties

frd         Specify a frequency response data model

ss          Specify a state-space model

tf          Specify a transfer function

zpk         Specify a zero-pole-gain model


 series sgrid