Control System Toolbox Function Reference | ![]() ![]() |
Compute controllability and observability state-space models:descriptor;state-space models:quick data retrievalgrammians
Syntax
Wc = gram(sys,'c') Wo = gram(sys,'o')
Description
gram
calculates controllability and observability grammians. You can use grammians to study the controllability and observability properties of state-space models and for model reduction [1,2]. They have better numerical properties than the controllability and observability matrices formed by ctrb
and obsv
.
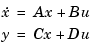
Given the continuous-time state-space model
the controllability grammian is defined by
and the observability grammian by
The discrete-time counterparts are
The controllability grammian is positive definite if and only if is controllable. Similarly, the observability grammian is positive definite if and only if
is observable.
Wc = gram(sys,'c') % controllability grammian Wo = gram(sys,'o') % observability grammian
to compute the grammians of a continuous or discrete system. The LTI model sys
must be in state-space form.
Algorithm
The controllability grammian is obtained by solving the continuous-time Lyapunov equation
or its discrete-time counterpart
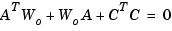
Similarly, the observability grammian solves the Lyapunov equation
in continuous time, and the Lyapunov equation
Limitations
The matrix must be stable (all eigenvalues have negative real part in continuous time, and magnitude strictly less than one in discrete time).
See Also
balreal
Grammian-based balancing of state-space realizations
ctrb
Controllability matrix
lyap
, dlyap
Lyapunov equation solvers
obsv
Observability matrix
References
[1] Kailath, T., Linear Systems, Prentice-Hall, 1980.
![]() | get | hasdelay | ![]() |