Control System Toolbox Function Reference | ![]() ![]() |
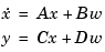
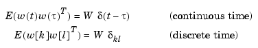
Output and state covariance of a system driven by white noise
Syntax
[P,Q] = covar(sys,W)
Description
covar
calculates the stationary covariance of the output of an LTI model
sys
driven by Gaussian white noise inputs . This function handles both continuous- and discrete-time cases.
P = covar(sys,W)
returns the steady-state output response covariance
[P,Q] = covar(sys,W)
also returns the steady-state state covariance
when sys
is a state-space model (otherwise Q
is set to []
).
When applied to an N
-dimensional LTI array sys
, covar
returns multi-dimensional arrays P, Q such that
P(:,:,i1,...iN)
and Q(:,:,i1,...iN)
are the covariance matrices for the model sys(:,:,i1,...iN)
.
Example
Compute the output response covariance of the discrete SISO system
due to Gaussian white noise of intensity W = 5
. Type
sys = tf([2 1],[1 0.2 0.5],0.1); p = covar(sys,5)
p = 30.3167
You can compare this output of covar
to simulation results.
randn('seed',0) w = sqrt(5)*randn(1,1000); % 1000 samples % Simulate response to w with LSIM: y = lsim(sys,w); % Compute covariance of y values psim = sum(y .* y)/length(w);
psim = 32.6269
The two covariance values p
and psim
do not agree perfectly due to the finite simulation horizon.
Algorithm
Transfer functions and zero-pole-gain models are first converted to state space with ss
.
For continuous-time state-space models
is obtained by solving the Lyapunov equation
The output response covariance is finite only when
and then
.
In discrete time, the state covariance solves the discrete Lyapunov equation
Note that is well defined for nonzero
in the discrete case.
Limitations
The state and output covariances are defined for stable systems only. For continuous systems, the output response covariance is finite only when the
matrix is zero (strictly proper system).
See Also
dlyap
Solver for discrete-time Lyapunov equations
lyap
Solver for continuous-time Lyapunov equations
References
[1] Bryson, A.E. and Y.C. Ho, Applied Optimal Control, Hemisphere Publishing, 1975, pp. 458-459.
![]() | connect | ctrb | ![]() |