Creating and Manipulating Models | ![]() ![]() |
Transfer Function Models
This section explains how to specify continuous-time SISO and MIMO transfer function models. The specification of discrete-time transfer function models is a simple extension of the continuous-time case (see Discrete-Time Models). In this section you can also read about how to specify transfer functions consisting of pure gains.
SISO Transfer Function Models
A continuous-time SISO transfer function
is characterized by its numerator and denominator
, both polynomials of the Laplace variable s.
There are two ways to specify SISO transfer functions:
tf
commandTo specify a SISO transfer function model using the
tf
command, type
h = tf(num,den)
where num
and den
are row vectors listing the coefficients of the polynomials and
, respectively, when these polynomials are ordered in descending powers of s. The resulting variable
h
is a TF object containing the numerator and denominator data.
For example, you can create the transfer function
by typing
h = tf([1 0],[1 2 10])
Transfer function: s -------------- s^2 + 2 s + 10
Note the customized display used for TF objects.
You can also specify transfer functions as rational expressions in the Laplace variable s by:
s
as a special TF model
s = tf('s');
s
For example, once s
is defined with tf
as in 1,
H = s/(s^2 + 2*s +10);
produces the same transfer function as
h = tf([1 0],[1 2 10]);
Note
You need only define the variable s as a TF model once. All of the subsequent models you create using rational expressions of s are specified as TF objects, unless you convert the variable s to ZPK. See Model Conversion for more information. |
MIMO transfer functions are two-dimensional arrays of elementary SISO transfer functions. There are several ways to specify MIMO transfer function models, including:
tf
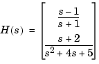
with cell array arguments Consider the rational transfer matrix
You can specify by concatenation of its SISO entries. For instance,
h11 = tf([1 -1],[1 1]); h21 = tf([1 2],[1 4 5]);
s = tf('s') h11 = (s-1)/(s+1); h21 = (s+2)/(s^2+4*s+5);
H = [h11; h21]
This syntax mimics standard matrix concatenation and tends to be easier and more readable for MIMO systems with many inputs and/or outputs. See Model Interconnection Functions for more details on concatenation operations for LTI systems.
Alternatively, to define MIMO transfer functions using tf
, you need two cell arrays (say, N
and D
) to represent the sets of numerator and denominator polynomials, respectively. See Chapter 13, "Structures and Cell Arrays" in Using MATLAB for more details on cell arrays.
For example, for the rational transfer matrix , the two cell arrays
N
and D
should contain the row-vector representations of the polynomial entries of
You can specify this MIMO transfer matrix by typing
N = {[1 -1];[1 2]}; % cell array for N(s) D = {[1 1];[1 4 5]}; % cell array for D(s) H = tf(N,D)
Transfer function from input to output... s - 1 #1: ----- s + 1 s + 2 #2: ------------- s^2 + 4 s + 5
Notice that both N
and D
have the same dimensions as H. For a general MIMO transfer matrix , the cell array entries
N{i,j}
and D{i,j}
should be row-vector representations of the numerator and denominator of , the
entry of the transfer matrix
.
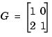
Pure Gains
You can use tf
with only one argument to specify simple gains or gain matrices as TF objects. For example,
G = tf([1 0;2 1])
E = tf
creates an empty transfer function.
![]() | Creating LTI Models | Zero-Pole-Gain Models | ![]() |