Creating and Manipulating Models | ![]() ![]() |
Zero-Pole-Gain Models
This section explains how to specify continuous-time SISO and MIMO zero-pole-gain models. The specification for discrete-time zero-pole-gain models is a simple extension of the continuous-time case. See Discrete-Time Models.
SISO Zero-Pole-Gain Models
Continuous-time SISO zero-pole-gain models are of the form
where is a real-valued scalar (the gain), and
,...,
and
,...,
are the real or complex conjugate pairs of zeros and poles of the transfer function
. This model is closely related to the transfer function representation: the zeros are simply the numerator roots, and the poles, the denominator roots.
There are two ways to specify SISO zero-pole-gain models:
zpk
command The syntax to specify ZPK models directly using zpk
is
h = zpk(z,p,k)
where z
and p
are the vectors of zeros and poles, and k
is the gain. This produces a ZPK object h
that encapsulates the z
, p
, and k
data. For example, typing
h = zpk(0, [1-i 1+i 2], -2)
Zero/pole/gain: -2 s -------------------- (s-2) (s^2 - 2s + 2)
You can also specify zero-pole-gain models as rational expressions in the Laplace variable s by:
s
as a ZPK model
s = zpk('s')
s
.
For example, once s
is defined with zpk
,
H = -2s/((s - 2)*(s^2 + 2*s + 2));
h = zpk([0], [2 -1-i -1+i ], -2);
Note
You need only define the ZPK variable s once. All subsequent rational expressions of s will be ZPK models, unless you convert the variable s to TF. See Model Conversion for more information on conversion to other model types. |
MIMO Zero-Pole-Gain Models
Just as with TF models, you can also specify a MIMO ZPK model by concatenation of its SISO entries (see Model Interconnection Functions).
You can also use the command zpk
to specify MIMO ZPK models. The syntax to create a p-by-m MIMO zero-pole-gain model using zpk
is
H = zpk(Z,P,K)
Z
is the p-by-m cell array of zeros (Z{i,j}
=
zeros of P
is the p-by-m cell array of poles (P{i,j}
=
poles of K
is the p-by-m matrix of gains (K(i,j)
=
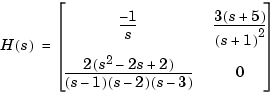
gain of Z = {[],-5;[1-i 1+i] []}; P = {0,[-1 -1];[1 2 3],[]}; K = [-1 3;2 0]; H = zpk(Z,P,K)
creates the two-input/two-output zero-pole-gain model
Notice that you use []
as a place-holder in Z
(or P)
when the corresponding entry of has no zeros (or poles).
![]() | Transfer Function Models | State-Space Models | ![]() |