Creating and Manipulating Models | ![]() ![]() |
Using the ioDelay
, InputDelay
, and OutputDelay
properties of LTI objects, you can specify delays in both continuous- and discrete-time LTI models. With these properties, you can, for example, represent:
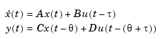
where is the time delay between the input
and the state vector
, and
is the time delay between
and the output
.
You can assign the delay properties ioDelay
, InputDelay
, and OutputDelay
either when first creating your model with the tf
, zpk
, ss
, or frd
constructors, or later with the set
command (see LTI Properties and Methods for details).
![]() | Caution About Model Conversions | Supported Functionality | ![]() |