| MATLAB Function Reference | ![]() |
Syntax
I = besseli(nu,Z) Modified Bessel function of the 1st kind K = besselk(nu,Z) Modified Bessel function of the 2nd kind I = besseli(nu,Z,1) K = besselk(nu,Z,1) [I,ierr] = besseli(...) [K,ierr] = besselk(...)
Definitions
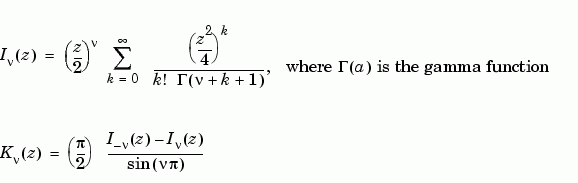
where
is a real constant, is called the modified Bessel's equation, and its solutions are known as modified Bessel functions.
and
form a fundamental set of solutions of the modified Bessel's equation for noninteger
.
is a second solution, independent of
.
Description
I = besseli(nu,Z)
computes modified Bessel functions of the first kind,
for each element of the array Z. The order nu need not be an integer, but must be real. The argument Z can be complex. The result is real where Z is positive.
If nu and Z are arrays of the same size, the result is also that size. If either input is a scalar, it is expanded to the other input's size. If one input is a row vector and the other is a column vector, the result is a two-dimensional table of function values.
K = besselk(nu,Z)
computes modified Bessel functions of the second kind,
for each element of the complex array Z.
I = besseli(nu,Z,1)
computes besseli(nu,Z).*exp(-abs(real(Z))).
K = besselk(nu,Z,1)
computes besselk(nu,Z).*exp(Z).
[I,ierr] = besseli(...) and [K,ierr] = besselk(...)
also return an array of error flags.
ierr = 1 |
|
ierr = 2 |
|
ierr = 3 |
|
ierr = 4 |
|
ierr = 5 |
Examples
format long
z = (0:0.2:1)';
besseli(1,z)
ans =
0
0.10050083402813
0.20402675573357
0.31370402560492
0.43286480262064
0.56515910399249
besselk(1,z)
ans =
Inf
4.77597254322047
2.18435442473269
1.30283493976350
0.86178163447218
0.60190723019723
besseli(3:9,(0:.2,10)',1) generates the entire table on page 423 of Abramowitz and Stegun, Handbook of Mathematical Functions.
besselk(3:9,(0:.2:10)',1) generates part of the table on page 424 of Abramowitz and Stegun, Handbook of Mathematical Functions.
Algorithm
The besseli and besselk functions use a Fortran MEX-file to call a library developed by D. E. Amos [3] [4].
See Also
References
[1] Abramowitz, M. and I.A. Stegun, Handbook of Mathematical Functions, National Bureau of Standards, Applied Math. Series #55, Dover Publications, 1965, sections 9.1.1, 9.1.89 and 9.12, formulas 9.1.10 and 9.2.5.
[2] Carrier, Krook, and Pearson, Functions of a Complex Variable: Theory and Technique, Hod Books, 1983, section 5.5.
[3] Amos, D. E., "A Subroutine Package for Bessel Functions of a Complex Argument and Nonnegative Order," Sandia National Laboratory Report, SAND85-1018, May, 1985.
[4] Amos, D. E., "A Portable Package for Bessel Functions of a Complex Argument and Nonnegative Order," Trans. Math. Software, 1986.
| besselh | besselj, bessely | ![]() |