Mathematics | ![]() ![]() |
Example: Electrodynamics Problem
This example illustrates the solution of a system of partial differential equations. The problem is taken from electrodynamics. It has boundary layers at both ends of the interval, and the solution changes rapidly for small .
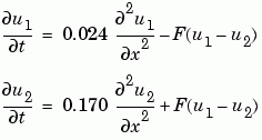
where
. The equations hold on an interval
for times
.
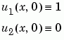
The solution satisfies the initial conditions
Note
The demo pdex4 contains the complete code for this example. The demo uses subfunctions to place all required functions in a single M-file. To run this example type pdex4 at the command line. See PDE Solver Basic Syntax and Representing PDE Problems for more information.
|
1 Rewrite the PDE. In the form expected by pdepe
, the equations are
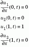
The boundary conditions on the partial derivatives of have to be written in terms of the flux. In the form expected by
pdepe
, the left boundary condition is
and the right boundary condition is
2 Code the PDE in MATLAB. After you rewrite the PDE in the form shown above, you can code it as a function that pdepe
can use. The function must be of the form
[c,f,s] = pdefun(x,t,u,dudx)
where c
, f
, and s
correspond to the ,
, and
terms in Equation 15-3.
function [c,f,s] = pdex4pde(x,t,u,DuDx) c = [1; 1]; f = [0.024; 0.17] .* DuDx; y = u(1) - u(2); F = exp(5.73*y)-exp(-11.47*y); s = [-F; F];
3 Code the Initial Conditions Function. The initial conditions function must be of the form
u = icfun(x)
The code below represents the initial conditions in the MATLAB function pdex4ic
.
function u0 = pdex4ic(x); u0 = [1; 0];
4 Code the Boundary Conditions Function. The boundary conditions functions must be of the form
[pl,ql,pr,qr] = bcfun(xl,ul,xr,ur,t)
The code below evaluates the components and
(Equation 15-5) of the boundary conditions in the MATLAB function
pdex4bc
.
function [pl,ql,pr,qr] = pdex4bc(xl,ul,xr,ur,t) pl = [0; ul(2)]; ql = [1; 0]; pr = [ur(1)-1; 0]; qr = [0; 1];
5 Select Mesh Points for the Solution. The solution changes rapidly for small . The program selects the step size in time to resolve this sharp change, but to see this behavior in the plots, output times must be selected accordingly. There are boundary layers in the solution at both ends of [0,1], so mesh points must be placed there to resolve these sharp changes. Often some experimentation is needed to select the mesh that reveals the behavior of the solution.
x = [0 0.005 0.01 0.05 0.1 0.2 0.5 0.7 0.9 0.95 0.99 0.995 1]; t = [0 0.005 0.01 0.05 0.1 0.5 1 1.5 2];
6 Apply the PDE Solver. The example calls pdepe
with m = 0
, the functions pdex4pde, pdex4ic, and pdex4bc, and the mesh defined by x and t at which pdepe
is to evaluate the solution. The pdepe
function returns the numerical solution in a three-dimensional array sol
, where sol(i,j,k)
approximates the k
th component of the solution, , evaluated at
t(i)
and x(j)
.
m = 0; sol = pdepe(m,@pdex4pde,@pdex4ic,@pdex4bc,x,t);
7 View the Results. The surface plots show the behavior of the solution components.
u1 = sol(:,:,1); u2 = sol(:,:,2); figure surf(x,t,u1) title('u1(x,t)') xlabel('Distance x') ylabel('Time t') figure surf(x,t,u2) title('u2(x,t)') xlabel('Distance x') ylabel('Time t')
![]() | Improving PDE Solver Performance | Selected Bibliography | ![]() |