Mathematics | ![]() ![]() |
Partial Fraction Expansion
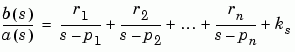
residue
finds the partial fraction expansion of the ratio of two polynomials. This is particularly useful for applications that represent systems in transfer function form. For polynomials b and a, if there are no multiple roots,
where r is a column vector of residues, p is a column vector of pole locations, and k is a row vector of direct terms. Consider the transfer function
b = [-4 8]; a = [1 6 8]; [r,p,k] = residue(b,a) r = -12 8 p = -4 -2 k = []
Given three input arguments (r
, p
, and k
), residue
converts back to polynomial form.
[b2,a2] = residue(r,p,k) b2 = -4 8 a2 = 1 6 8
![]() | Polynomial Curve Fitting | Interpolation | ![]() |