Power System Blockset    
Surge Arrester

Implement a metal-oxide surge arrester.

Library

Elements

Description

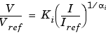
The Surge Arrester block implements a highly nonlinear resistor used to protect power equipments against overvoltages. For applications requiring high power dissipation, several columns of metal-oxide discs are connected in parallel inside the same porcelain housing. The nonlinear V-I characteristic of each column of the surge arrester is modeled by a combination of three exponential functions of the form:

The protection voltage obtained with a single column is specified at a reference current (usually 500A or 1kA). Default parameters k and given in the dialog box fit the average V-I characteristic provided by the main metal oxide arrester manufacturers and they do not change with the protection voltage. The required protection voltage is obtained by adding discs of zinc oxide in series in each column.

This V-I characteristic is graphically represented as follows (on a linear scale and on a logarithmic scale).

Dialog Box and Parameters

Protection voltage Vref
The protection voltage of the Surge Arrester block, in volts (V).
Number of columns
The number of metal-oxide disc columns, the minimum is one.
Reference current per column Iref
The reference current of one column used to specify the protection voltage, in amperes (A).
Segment 1 characteristic
The K and parameters of segment one.
Segment 2 characteristic
The K and parameters of segment two.
Segment 3 characteristic
The K and characteristics of segment three.
Measurements
Select Branch voltage to measure the voltage across the Surge Arrester block terminals.
Select Branch current to measure the current flowing through the Surge Arrester block.
Select Branch voltage and current to measure the surge arrester voltage and current.
Place a Multimeter block in your model to display the selected measurements during the simulation. In the Available Measurement listbox of the Multimeter block, the measurement will be identified by a label followed by the block name.

Measurement

Label

Branch voltage

ub:

Branch current

ib:

Limitations

The Surge Arrester block is modeled as a current source driven by the voltage appearing across its terminals. Therefore, it cannot be connected in series with an inductor or another current source. As the Surge Arrester block is highly nonlinear, a stiff integrator algorithm must be used to simulate the circuit. Ode15s or Ode23tb with default parameters usually give the best simulation speed. For continuous simulation, in order to avoid an algebraic loop, the voltage applied to the nonlinear resistance is filtered by a first order filter with a time constant of 0.01 micro seconds. This very fast time constant does not affect significantly the result accuracy. When the Surge Arrester block is used in a discrete system, a time delay of one simulation step is used. This delay may cause numerical oscillations if the sample time is too large.

Example

The example provided in the psbarrester.mdl demonstration file illustrates the use of metal oxide varistors (MOV) on a 735 kV series compensated network. Only one phase of the network is represented. The capacitor connected in series with the line is protected by a 30 column arrester. At t=0.03 seconds, a fault is applied at the load terminals. The current increases in the series capacitor and produces an overvoltage which is limited by the Surge Arrester block. Then the fault is cleared at t=0.3 second.

At fault application, the resulting overvoltage makes the MOV to conduct. The waveforms displayed by Umov and Imov measurements as well as the V-I characteristic plotted by the X-Y scope are shown below:


 Steam Turbine and Governor Synchronous Machine