Motorola DSP Developer's Kit |
Motorola DSP Developer's Kit |
Motorola DSP Developer's Kit | ![]() ![]() |
Description
mot566_conv(A,B) convolves vectors A and B.The length of the resulting vector is the length of A + the length of B -1. If A and B are vectors of polynomial coefficients, convolving them is equivalent to multiplying the two polynomials.
Characteristics
In the workspace, if the input is:
A=[0.0695 + 0.0957i 0.0621 + 0.0523i 0.0795 + 0.0880i] B=[0.0173 - 0.0252i 0.0980 - 0.0876i 0.0271 - 0.0737i] mot566_conv(a,b,'56601')
ans=0.0036 - 0.0001i 0.0176 + 0.0026i 0.0232 - 0.0033i 0.0210 - 0.0015i 0.0086 - 0.0035i
Arguments
A,B
Vector (or matrix) with elements normalized in the range [-1,1] (for complex elements, both real and imaginary parts should comply with this limit).
Resulting vector with length of length(A)+length(B)-1
Algorithm
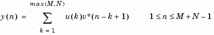
For a length-M input vector u (indexed from 1 to M) and a length-N input vector v (indexed from 1 to N), the convolution output is a vector of length M+N-1 with elements
where * denotes conjugation, and u and v are zero when indexed outside of their valid ranges.
When both inputs are real, the output is real as well. When one or both inputs are complex, the output is complex.
See Also
mot566_xcorr
![]() | mot566_angle | mot566_decimate | ![]() |