Motorola DSP Developer's Kit    
mot563_conv

Compute the convolution of two vectors.

MATLAB Syntax

Y=mot563_conv(A,B)

Description

mot563_conv(A,B) convolves vectors A and B.The length of the resulting vector is the length of A + the length of B -1. If A and B are vectors of polynomial coefficients, convolving them is equivalent to multiplying the two polynomials.

Characteristics

In the workspace, if the input is:

then the returned value is:

Arguments
A,B
   Vector (or matrix) with elements normalized in the range [-1,1] (for complex elements, both real and imaginary parts should comply with this limit).

Y

Resulting vector with length of length(A)+length(B)-1

Algorithm

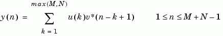
For a length-M input vector u (indexed from 1 to M) and a length-N input vector v (indexed from 1 to N), the convolution output is a vector of length M+N-1 with elements

where * denotes conjugation, and u and v are zero when indexed outside of their valid ranges.

When both inputs are real, the output is real as well. When one or both inputs are complex, the output is complex.

See Also
mot563_xcorr


 mot563_angle mot563_decimate