Control System Toolbox Function Reference | ![]() ![]() |
Syntax
rlocus(sys)
rlocus(sys,k)
rlocus(sys1,sys2,...)
[r,k] = rlocus(sys)
r = rlocus(sys,k)
Description
computes the Evans root locus of a SISO open-loop model. The root locus gives the closed-loop pole trajectories as a function of the feedback gain rlocus
(assuming negative feedback). Root loci are used to study the effects of varying feedback gains on closed-loop pole locations. In turn, these locations provide indirect information on the time and frequency responses.
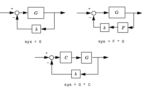
rlocus(sys)
calculates and plots the root locus of the open-loop SISO model sys
. This function can be applied to any of the following negative feedback loops by setting sys
appropriately.
the closed-loop poles are the roots of
rlocus
adaptively selects a set of positive gains to produce a smooth plot. Alternatively,
rlocus(sys,k)
uses the user-specified vector k
of gains to plot the root locus.
rlocus(sys1,sys2,...)
draws the root loci of multiple LTI models sys1, sys2,...
on a single plot. You can specify a color, line style, and marker for each model, as in
rlocus(sys1,'r',sys2,'y:',sys3,'gx').
When invoked with output arguments,
[r,k] = rlocus(sys) r = rlocus(sys,k)
return the vector k
of selected gains and the complex root locations r
for these gains. The matrix r
has length(k)
columns and its j
th column lists the closed-loop roots for the gain k(j)
.
Example
Find and plot the root-locus of the following system.
h = tf([2 5 1],[1 2 3]); rlocus(h)
![]()
You can use the right-click menu for rlocus to add grid lines, zoom in or out, and invoke the Property Editor to customize the plot. Also, click anywhere on the curve to activate a data marker that displays the gain value, pole, damping, overshoot, and frequency at the selected point.
See Also
pole
System poles
pzmap
Pole-zero map
![]() | reshape | rss | ![]() |