Control System Toolbox Function Reference | ![]() ![]() |
Syntax
rsys = modred(sys,elim) rsys = modred(sys,elim,'mdc') rsys = modred(sys,elim,'del')
Description
modred
reduces the order of a continuous or discrete state-space model sys
. This function is usually used in conjunction with balreal
. Two order reduction techniques are available:
rsys = modred(sys,elim)
or rsys = modred(sys,elim,'mdc')
produces a reduced-order model rsys
with matching DC gain (or equivalently, matching steady state in the step response). The index vector elim
specifies the states to be eliminated. The resulting model rsys
has length(elim)
fewer states. This technique consists of setting the derivative of the eliminated states to zero and solving for the remaining states.rsys = modred(sys,elim,'del')
simply deletes the states specified by elim
. While this method does not guarantee matching DC gains, it tends to produce better approximations in the frequency domain (see example below).If the state-space model sys has been balanced with balreal
and the grammians have small diagonal entries, you can reduce the model order by eliminating the last
states with
modred
.
Example
Consider the continuous fourth-order model
To reduce its order, first compute a balanced state-space realization with balreal
by typing
h = tf([1 11 36 26],[1 14.6 74.96 153.7 99.65]) [hb,g] = balreal(h) g'
ans = 1.3938e-01 9.5482e-03 6.2712e-04 7.3245e-06
The last three diagonal entries of the balanced grammians are small, so eliminate the last three states with modred
using both matched DC gain and direct deletion methods.
hmdc = modred(hb,2:4,'mdc') hdel = modred(hb,2:4,'del')
Both hmdc
and hdel
are first-order models. Compare their Bode responses against that of the original model .
bode(h,'-',hmdc,'x',hdel,'*')
![]()
The reduced-order model hdel
is clearly a better frequency-domain approximation of . Now compare the step responses.
step(h,'-',hmdc,'-.',hdel,'--')
![]()
While hdel
accurately reflects the transient behavior, only hmdc
gives the true steady-state response.
Algorithm
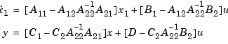
The algorithm for the matched DC gain method is as follows. For continuous-time models
the state vector is partitioned into , to be kept, and
, to be eliminated.
Next, the derivative of is set to zero and the resulting equation is solved for
. The reduced-order model is given by
The discrete-time case is treated similarly by setting
Limitations
With the matched DC gain method, must be invertible in continuous time, and
must be invertible in discrete time.
See Also
balreal
Input/output balancing of state-space models
minreal
Minimal state-space realizations
![]() | minreal | ndims | ![]() |