Control System Toolbox Function Reference | ![]() ![]() |
Append the state vector to the output vector
Syntax
asys = augstate(sys)
Description
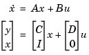
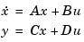
Given a state-space model sys
with equations
(or their discrete-time counterpart), augstate
appends the states to the outputs
to form the model
This command prepares the plant so that you can use the feedback
command to close the loop on a full-state feedback .
Limitation
Because augstate
is only meaningful for state-space models, it cannot be used with TF, ZPK or FRD models.
See Also
feedback
Feedback connection
parallel
Parallel connection
series
Series connection
![]() | append | balreal | ![]() |