| Customization | ![]() |
SISO Tool Page
| Note Click on the page tabs below to get help on pages in the Control System Toolbox Preferences editor. |
The SISO Tool page has settings for the SISO Design Tool. This figure shows the SISO Tool page with default settings.
You can make the following selections:

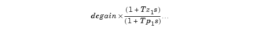
where Tz1, Tz2, ..., are the zero time constants, and Tp1, Tp2, ..., are the pole time constants.
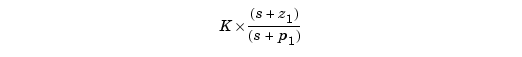
The zero/pole/gain format is a variation on the time-constant format.

In this case, the gain is compensator gain; z1, z2, ... and p1, p2, ..., are the zero and pole locations, respectively.
| Characteristics Page | Setting Tool Preferences | ![]() |