Creating and Manipulating Models | ![]() ![]() |
LTI Models
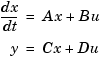
You can specify LTI models as:
where A, B, C, and D are matrices of appropriate dimensions, x is the state vector, and u and y are the input and output vectors.
FRD models consist of sampled measurements of a system's frequency response. For example, you can store experimentally collected frequency response data in an FRD.
![]() | LTI Models | Using LTI Models in the Control System Toolbox | ![]() |