Creating and Manipulating Models | ![]() ![]() |
Descriptor State-Space Models
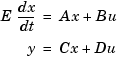
Descriptor state-space (DSS) models are a generalization of the standard state-space models discussed above. They are of the form
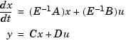
The Control System Toolbox supports only descriptor systems with a nonsingular matrix. While such models have an equivalent explicit form
it is often desirable to work with the descriptor form when the matrix is poorly conditioned with respect to inversion.
The function dss
is the counterpart of ss
for descriptor state-space models. Specifically,
sys = dss(A,B,C,D,E)
creates a continuous-time DSS model with matrix data A,B,C,D,E
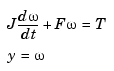
. For example, consider the dynamical model
with vector of angular velocities. If the inertia matrix
is poorly conditioned with respect to inversion, you can specify this system as a descriptor model by
sys = dss(-F,eye(n),eye(n),0,J) % n = length of vector![]()
![]() | State-Space Models | Frequency Response Data (FRD) Models | ![]() |