Getting Started | ![]() ![]() |
Linear Model Representations
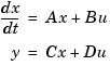
The Control System Toolbox supports the following model representations:
where A, B, C, and D are matrices of appropriate dimensions, x is the state vector, and u and y are the input and output vectors.
Note The design of FRD models is a specialized subject that this guide does not address. See Frequency Response Data (FRD) Models under "Creating and Manipulating Models" in the online documentation for a discussion of this topic. |
![]() | Linear Models | SISO Example: the DC Motor | ![]() |