MATLAB Function Reference | ![]() ![]() |
Syntax
Y = gamma(A) Gamma function Y = gammainc(X,A) Incomplete gamma function Y = gammaln(A) Logarithm of gamma function
Definition
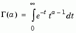
The gamma function is defined by the integral:
The gamma function interpolates the factorial function. For integer n
:
gamma(n+1) = n! = prod(1:n)
The incomplete gamma function is:
Description
Y = gamma(A)
returns the gamma function at the elements of A
. A
must be real.
Y = gammainc(X,A)
returns the incomplete gamma function of corresponding elements of X
and A
. Arguments X
and A
must be real and the same size (or either can be scalar).
Y = gammaln(A)
returns the logarithm of the gamma function, gammaln(A) = log(gamma(A))
. The gammaln
command avoids the underflow and overflow that may occur if it is computed directly using log(gamma(A))
.
Algorithm
The computations of gamma
and gammaln
are based on algorithms outlined in [1]. Several different minimax rational approximations are used depending upon the value of A
. Computation of the incomplete gamma function is based on the algorithm in [2].
References
[1] Cody, J., An Overview of Software Development for Special Functions, Lecture Notes in Mathematics, 506, Numerical Analysis Dundee, G. A. Watson (ed.), Springer Verlag, Berlin, 1976.
[2] Abramowitz, M. and I.A. Stegun, Handbook of Mathematical Functions, National Bureau of Standards, Applied Math. Series #55, Dover Publications, 1965, sec. 6.5.
![]() | gallery | gca | ![]() |