Mathematics | ![]() ![]() |
Introduction to Initial Value ODE Problems
What Is an Ordinary Differential Equation
The MATLAB ODE solvers are designed to handle ordinary differential equations. An ordinary differential equation contains one or more derivatives of a dependent variable with respect to a single independent variable
, usually referred to as time. The derivative of
with respect to
is denoted as
, the second derivative as
, and so on. Often
is a vector, having elements
.
Using Initial Conditions to Specify the Solution of Interest
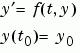
Generally there are many functions that satisfy a given ODE, and additional information is necessary to specify the solution of interest. In an initial value problem, the solution of interest satisfies a specific initial condition, that is,
is equal to
at a given initial time
. An initial value problem for an ODE is then
![]() |
(15-1) |
If the function is sufficiently smooth, this problem has one and only one solution. Generally there is no analytic expression for the solution, so it is necessary to approximate
by numerical means, such as using one of the MATLAB ODE solvers.
![]() | ODE Function Summary | Initial Value Problem Solvers | ![]() |