Graphics | ![]() ![]() |
Displaying Contours in Polar Coordinates
You can contour data defined in the polar coordinate system. As an example, set up a grid in polar coordinates and convert the coordinates to Cartesian coordinates,
[th,r] = meshgrid((0:5:360)*pi/180,0:.05:1); [X,Y] = pol2cart(th,r);
Then, generate the complex matrix Z
on the interior of the unit circle,
Z = X+i*Y;
X
, Y
, and Z
are points inside the circle.
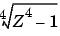
Create and display a surface of the function
.
f = (Z.^4-1).^(1/4); surf(X,Y,abs(f))
Display the unit circle beneath the surface using the statements
hold on surf(X,Y,zeros(size(X))) hold off
Labeling the Graph
xlabel('Real',
'FontSize',14);
ylabel('Imaginary','FontSize',14); zlabel('abs(f)','FontSize',14);
Contours in Cartesian Coordinates
These statements display a contour of the surface in Cartesian coordinates and label the x- and y-axis.
contour(X,Y,abs(f),30) axis equalxlabel('Real',
'FontSize',14);
ylabel('Imaginary','FontSize',14);
Contours on a Polar Axis
You can also display the contour within a polar axes. Create a polar axes using the polar
function, and then delete the line specified with polar
.
h = polar([0 2*pi], [0 1]); delete(h)
With hold
on
, display the contour on the polar grid.
hold on contour(X,Y,abs(f),30)
![]() | Changing the Offset of a Contour | Interactive Plotting | ![]() |